キ〇セクを医学的に考えてみる
サークル”オタク語り”アドベントカレンダー 12/24
今回はタイトルの通り、アダルトな内容を多く含む記事となります。
苦手な方はブラウザバックをお願いします。
皆さんこんにちは、カシオレ侍です。
クリスマスイブの記事を担当するというなかなかの大仕事を任されてしまいました。
いろいろ考えたのですが、今回は「キメセク」について少しだけ考察してみたいと思います。
他意はないよ!たまたまクリスマスイブだっただけだよ!!
さて、今回の考察の結論を先に言ってしまいましょう。
北欧の人はキメセクをしている
これだけ書くと差別だとか卑猥だとかいろいろ言われそうなので、ここに至るまでの思考回路をこれから説明していきたいと思います。
まず、キメセクについて掘り下げたいと思います。
キメセクとは、「薬を用いて行う性行為」とここでは定義したいと思います。海外では "Chemsex" などと呼ばれます。Chem(化学の)sexという意味ですね。
日本では薬物を取り締まる法律や広告、教育が広まっているおかげか、なかなか街中でヤバい薬物をキメている人はなかなか見ませんね。最近は、大麻所持で芸能人が捕まったというニュースを聞くことも増えましたが、それでも海外に比べれば全然少ない方です。
海外では若者の薬物乱用が問題となっている国も多いです。
個人的に紹介したい動画が、アメリカ合衆国フィラデルフィアのケンジントン通りの現状に関する動画です。
YouTubeで「フィラデルフィア ゾンビ」で検索するとグロテスクな動画が出てくると思います。
このゾンビとは薬物中毒者であり、失業した多くの人々が薬物におぼれた結果、動画のような惨状になってしまったのです。
これが地方の町ならともかく、アメリカで6番目に大きな都市ですら薬物が蔓延した状態です。
日本で6番目の都市は東京23区を含めると福岡県福岡市です。つまり、日本で例えると博多にヘロインなどの薬物を乱用したゾンビが大量にいる状態になります。想像するだけで恐ろしいですね。
キメセクでは性的快感を高めるために性行為の最中、あるいは前後に薬を用いています。
では、性的興奮を高める薬にはどのようなものがあるのでしょうか。
有名なものに性的興奮を高める代表的な違法薬物にMDMA(メチレンジオキシメタンフェタミン)があります。MDMAはエクスタシーという別名をもつ幻覚剤です。
MDMAは脳内のセロトニン等を過剰に放出させることにより、人間の精神に多幸感、他者との共感などの変化をもたらすと考えられています。
また、愛情ホルモンとして知られるオキシトシンの放出も増加させることが知られています。
そして、身近なものとして私たちが利用しているものがアルコールです。
アルコールは薬として認識されることが少ないですが、体に作用する立派な薬物の一つです。
アルコールを摂取することでリラックスすることができ、心因性EDの改善などに良い影響を及ぼすと考えられています。

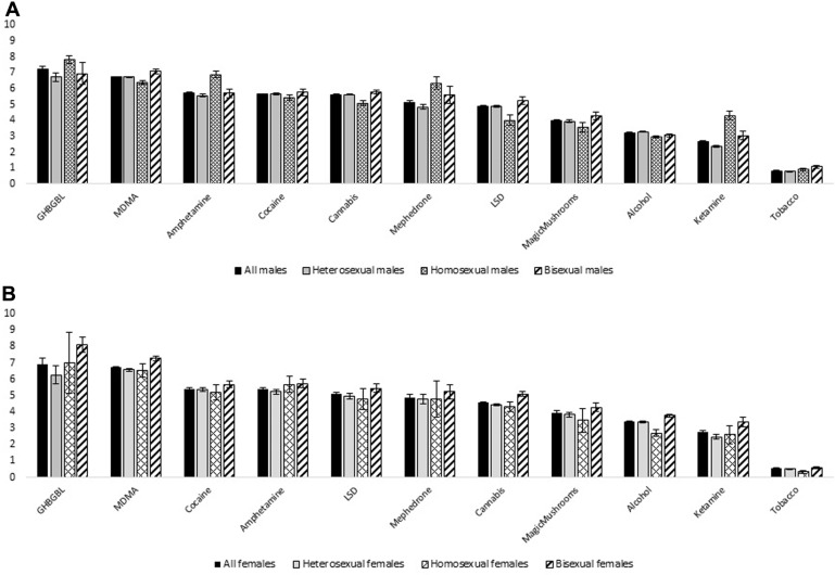
(画像引用:Journal Sexual Medicine VOL 16, ISSUE 5, P721-732)
上図において、Aは男性、Bは女性において、それぞれ縦軸を”increased enjoyment or capacity for sex or physical activity”、簡単に言えば「性的な満足度がどれぐらい上昇したか」を10点満点で評価したものです。
左から2番目がMDMA、左から8番目がアルコールですが、それぞれ6点、4点となっています。
実はMDMAに比べるとアルコールは少し点数が低くなりますが、アルコールは性的快感を強めるのに十分はたらくのです。
なお、タバコはあまり性的興奮を高めるのに寄与していないようです。
したがって、私たちが最も手軽にキメセクするにはアルコールを摂取すればよいのです!!
ここで話は変わりますが北欧について少し考えてみましょう。
皆さんはフィンランドでのバス停の並び方が一度バズったことを覚えていますか?
「フィンランド人 バス停」で調べると分かると思いますが、一人ひとりの感覚が日本とは比べ物にならないほど開いています。
これは、フィンランドの人口が2021年で554.2万人と少ないことも一つの原因でしょうが、最も大きな原因として、パーソナルスペースが広いことが挙げられます。
なお、この傾向はフィンランドだけではなく北欧全体でみられるそうで、北欧の人は全体的にパーソナルスペースが広く、殆どの人は家族と数人の親友だけという社交範囲であるようです。
そんな彼らはどのようにして出会いの場を持つのかというと、クラブなどでお酒を飲んで交流するようです。
お酒を飲んでいる間はパーソナルスペースも少しおさまるみたいです。
つまり、お酒を飲むことで男女の出会いを果たしているのです。(もちろん同性同士の場合もあります)
お酒は先ほど述べたようにキメセクの代表的な薬だと考えると、最初に述べた結論にたどり着くのではないでしょうか?
北欧の人はキメセクをしている
... 北欧の人は出会いにお酒がほぼ必須だから、ということでこのような結論にしましたが、、、
実のところ、北欧の人だけではなく、多くの国の人がアルコールを飲んで出会いを求めていることが先ほど引用した論文にも書いています。
なんなら、読者の中にも、お酒飲んでからホテル行ったことありまーすって方も結構多くいらっしゃると思います。
つまり、人類はみなキメセクが大好きってことですね!!!!!!
主語デカくない?
さんざんひどい内容を書き連ねてきましたが、今回の記事は一種のジョークのようなものとして受け取っていただければ幸いです。
なお、性的興奮のメカニズムは今なお研究の最先端となっています。特に女性の方が複雑で、匂い、声、見た目などさまざまな因子が絡み合っており解明されるのはまだまだ先になりそうです。
また、アルコールは身近なキメセクの薬だと言いましたが、過剰なアルコールの摂取は逆に脳の中枢神経を抑制するためEDの原因となることがあります。
お酒もキメセクもほどほどに!ということですね。
今回の記事はここまでです。
アドベントカレンダーの担当はこれが最後となります。
今後も定期的に記事を書いていきたいと思っているので、次回以降も皆さんよろしくお願いします♪